收藏 分享(赏)

2019春外研版高一英语必修四教案:MODULE 6 全单元 .doc

上传人:a**** 文档编号:439179 上传时间:2025-12-02 格式:DOC 页数:12 大小:199KB
下载 相关 举报
2019春外研版高一英语必修四教案:MODULE 6 全单元 .doc_第1页
第1页 / 共12页
2019春外研版高一英语必修四教案:MODULE 6 全单元 .doc_第2页
第2页 / 共12页
2019春外研版高一英语必修四教案:MODULE 6 全单元 .doc_第3页
第3页 / 共12页
2019春外研版高一英语必修四教案:MODULE 6 全单元 .doc_第4页
第4页 / 共12页
2019春外研版高一英语必修四教案:MODULE 6 全单元 .doc_第5页
第5页 / 共12页
2019春外研版高一英语必修四教案:MODULE 6 全单元 .doc_第6页
第6页 / 共12页
2019春外研版高一英语必修四教案:MODULE 6 全单元 .doc_第7页
第7页 / 共12页
2019春外研版高一英语必修四教案:MODULE 6 全单元 .doc_第8页
第8页 / 共12页
2019春外研版高一英语必修四教案:MODULE 6 全单元 .doc_第9页
第9页 / 共12页
2019春外研版高一英语必修四教案:MODULE 6 全单元 .doc_第10页
第10页 / 共12页
2019春外研版高一英语必修四教案:MODULE 6 全单元 .doc_第11页
第11页 / 共12页
2019春外研版高一英语必修四教案:MODULE 6 全单元 .doc_第12页
第12页 / 共12页
亲,该文档总共12页,全部预览完了,如果喜欢就下载吧!
资源描述

1、Module 6 Unexplained Mysteries of the Natural WorldPart One Teaching DesignPeriod 1 ReadingThe Monster of Lake TianchiGoals To learn to read passages with Imperatives about traffic jams To learn to read with strategiesStep 1: Warming up by talking about Lake Tianchi MonsterThe Lake Tianchi Monster i

2、s an alleged “lake monster” which dwells in Lake Tianchi, within the Changbai Mountains of Jilin Province, China, not far from the North Korean border. Some reports argue that there is not a monster, but an estimated 20 monsters. The first reported sighting was in 1903. It was claimed that a large b

3、uffalo-like creature attacked three people, but was shot six times. The monster then retreated under the water. More recent reports describe the monster as having a human-like head attached to a 1.5m neck. It is said to have a white ring around the bottom of its neck, and the rest of its skin is gre

4、y and smooth.Step 2: Before you readPlease go over the word list for this module, paying attention to the pronunciation of the word, the relationship between its pronunciation and its spelling.Step 3: While you read1. Type of writing and summaries of Monster of Lake TianchiType of writingA narration

5、Idea of 1st para.The director of a local tourist office, Meng Fanying happened to see a monster in the “Monster of Lake Tianchi” in the Changbai Mountains in Jilin province, northeast China. Idea of 2nd para.In another recent sighting, a group of soldiers claim they saw an animal moving on the surfa

6、ce of the water.Idea of 3rd para.A third report came from Li Xiaohe, who claims to have seen a round black creature moving quickly through the water.Idea of 4th para.Being skeptical scientists say that the low-temperature lake is unlikely to be able to support such large living creatures.Idea of 5th

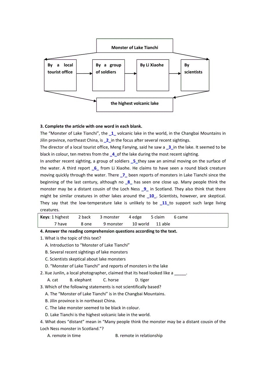
7、 para.Lake Tianchi is the highest volcanic lake in the world.2. A diagram of A Trip Along the Three GorgesMonster of Lake TianchiBy a local tourist officeBy a group of soldiersthe highest volcanic lakeBy Li XiaoheBy scientists3. Complete the article with one word in each blank.The “Monster of Lake T

8、ianchi”, the _1_ volcanic lake in the world, in the Changbai Mountains in Jilin province, northeast China, is _2_in the focus after several recent sightings. The director of a local tourist office, Meng Fanying, said he saw a _3_in the lake. It seemed to be black in colour, ten metres from the _4_of

9、 the lake during the most recent sighting.In another recent sighting, a group of soldiers _5_they saw an animal moving on the surface of the water. A third report _6_ from Li Xiaohe. He claims to have seen a round black creature moving quickly through the water. There _7_ been reports of monsters in

10、 Lake Tianchi since the beginning of the last century, although no _8_ has seen one close up. Many people think the monster may be a distant cousin of the Loch Ness _9_ in Scotland. They also think that there might be similar creatures in other lakes around the _10_. Scientists, however, are skeptic

11、al. They say that the low-temperature lake is unlikely to be _11_to support such large living creatures.Keys: 1 highest 2 back 3 monster 4 edge 5 claim 6 came 7 have 8 one 9 monster 10 world 11 able4. Answer the reading comprehension questions according to the text. 1. What is the topic of this text

12、?A. Introduction to “Monster of Lake Tianchi” B. Several recent sightings of lake monstersC. Scientists skeptical about lake monstersD. “Monster of Lake Tianchi” and reports of monsters in the lake2. Xue Junlin, a local photographer, claimed that its head looked like a _. A. cat B. elephant C. horse

13、 D. tiger3. Which of the following statements is not scientifically based?A. The “Monster of Lake Tianchi” is in the Changbai Mountains.B. Jilin province is in northeast China.C. The lake monster seemed to be black in colour. D. Lake Tianchi is the highest volcanic lake in the world. 4. What does “d

14、istant” mean in “Many people think the monster may be a distant cousin of the Loch Ness monster in Scotland.”? A. remote in timeB. remote in relationship C. aloofly reservedD. hard to distinguish clearlykeys: 1-4 DCCBStep 4: After you read1. Copy all the useful expressions into your Expression Book.

15、Useful expressions from The Monster of Lake Tianchiback in the news, on Changbais western peak, get a clear look at the mysterious creature, a local photographer, in another recent sighting, a group of soldiers, have a round head with 10-centimetre horns, dive into the water, repeat the action, too

16、far away, the low-temperature lake, 2,189 meters high, cover an area of about ten square kilometersSentences made with expressions from The Monster of Lake Tianchi1. The old actor is back in the news for his latest movie.2. It is one of the most difficult peaks to climb.3. Do you know why you can no

17、t get a clear look at the picture? 4. Shes an actress whose inner life has remained mysterious, despite the many interviews she has given.5. Blue whales are the largest creatures ever to have lived.6. Many local shops will be forced to close if the new supermarket is built.7. This is the first sight

18、ing of this particularly rare bird in this country.8. The car was parked near a small group of trees.9. With a bit of luck, we should be back in time for dinner.10. They ran to the pool, dived in, and swam to the other side.11. Please dont repeat what Ive just told you to anyone else.12. Is the stat

19、ion far away?13. We are particularly interested in information that would be useful to the low temperature community.14. Its two and a half metres high and one metre wide.15. The campus covers an area of 23.33 hectares, with a floor space of 120000 square meters.2. Read to fill in the table with inf

20、ormation from the text.Para. 1 A recent sighting: The monster of Lake Tianchi jumped out f the water like a seal200 people on Changbais western peak saw it.Para. 2 Another recent sighting: It was greenish-black and had a round head with 10-centimetre horns.Para. 3 A third report: A round black creat

21、ure was moving quickly through the water. It dived into the water and appeared again.Para. 4 There have been reports of monsters in Lake Tianchi since the beginning of the last century.Para. 5 Lake Tianchi is the highest volcanic lake in the world.Period 2 SpeakingDoing the role-playGoals To learn t

22、o role-play a dialogue about the monster of Lake TianchiStep 1: Making preparation for speakingTo speak about something well in a foreign language, you need two things prepared: the language and the idea.Now go back to the reading passage to read it again for the necessary vocabulary and ideas to be

23、 used in talking about the monster of Lake Tianchi. You may go to the internet or the library for any other related information for talking about lake monsters reported in China or other countries of the world.Step 2: Role-playing the text The Monster of Lake TianchiA: Hi, where have you been?B: I h

24、ave been to Chinas legendary Lake Tianchi. C: I learned that Lake Tianchi Monster has surfaced again.B: Yes, it has. Local officials have reported sightings of as many as 20 of the mysterious and unidentified creatures in a lake near North Korea. D: I learned that sightings of the strange beast Chin

25、as version of the Loch Ness Monster date back more than a century, but like Scotlands famed “Nessie” reports vary and remain unconfirmed. B: You are right in saying that. On the morning of July 11, several local government cadres caught sight of a school of mysterious creatures.D: I think they were

26、swimming through the lake in the Changbai mountains, in northeastern Jilin province. B: Yes, they were. Within about 50 minutes, the monsters appeared five times. D: At times there was one, at times there were several. B: The last time, there were as many as about 20.D: It was reported that the crea

27、tures, two to three kilometres in the distance, appeared only as white or black spots. B: But from the ripples in the water, people there determined the spots were “living beings”. A: I read in the paper that in 1903, according to local records, a creature resembling a huge buffalo with a deafening

28、roar sprang out of the water and attempted to attack three people before one them shot it in the belly six times. B: The beast then roared and disappeared back into the water. A: That was frightening. Step 3: Role-playing a dialogue about lake monstersA: What is a lake monster?B: Lake Monster is the

29、 name given to large unknown animals which have purportedly been sighted in, and/or are believed to dwell in lakes, although their existence has never been confirmed scientifically. C: Do they exist?B: They are generally believed not to exist by conventional Zoology and allied sciences.D: Are they t

30、he subjects of scientific investigation?B: Yes, they are. They are principally the subject of investigations by followers of Cryptozoology. A: What about their sightings? Are the sightings unusual?B: Their sightings are often similar to some sea monsters. C: Could you give us some examples of lake m

31、onsters?B: Okay. The most famous lake monster is certainly the Loch Ness Monster.D: I learned that for many decades it has been reported to inhabit Loch Ness in Scotland. B: And in more recent years, similar animals have been widely reported, such as Ogopogo in Okanagan Lake in the heart of British

32、Columbia; Manipogo in Lake Manitoba, and Champ in Lake Champlain. C: Are there any other locations?B: Other locations which have been claimed as homes for lake monsters are Bear Lake (Idaho/Utah), a large, very deep lake with sightings as early as 1850. Flathead Lake in Montana, Lake Tianchi in Chin

33、a, Bala Lake in Wales, the White River in Alabama. Fulks Lake near Churubusco, Indiana is said to be home to the Beast of Busco. The worlds deepest lake, Lake Baikal in Siberia has also been cited as a monsters home, although Lake Brosno is a more popular Russian location. D: And Storsjn in Jemtia,

34、Sweden has also been said to house Storsjodjuret. A: Are there anything in common between all these lakes?B: Yes, yes are. All these lakes are extraordinarily deep. Interestingly all these lakes are situated in areas of cold climate. C: What about the evidence? Are there any firmly approved evidence

35、s?B: Evidence for such animals is almost exclusively in the form of frequently-numerous eyewitness reports. Relatively few still photographs, almost no motion picture or videotapes, and no living animals or animal remains have been produced. D: What do scientists think of all these evidences?B: Ther

36、e are many speculations as to what the reported lake monsters could be. Many consider them to be purely exaggerations or misinterpretations of known and natural phenomena, or else fabrications and hoaxes. A: I think these lake monsters have become important tourist draws. B: You may be right in sayi

37、ng that. I learned the first sighter of the Loch Ness Monster died recently, and he admitted that the monster was a cardboard cutout and photographed to look as if the monster was real. Period 3 FunctionTalking about possibility and improbabilityGoals To learn to talk about possibility and improbabi

38、lityStep 1: Learning about ways to talk about possibility and improbabilityMay: The monster may be related to Nessie.Might: There might be similar creatures in other lakes.Unlikely: The lake is unlikely to be able to support such a big creatures.Perhaps: Perhaps there are still dinosaurs somewhere.I

39、t may/ might be: It may/ might be a big fish.Its unlikely to be: Its unlikely to be a dinosaur.It is likely thatStep 2: Making sentences expressing possibility and improbabilityUseful expressions from The Monster of Lake Tianchi1. The UFO may be back in the news.2. The monster might become famous af

40、ter several reports of sightings.3. Perhaps the director of the school is a believer in lake monsters.4. It is likely that the monster is black in colour.5. The monster might be sighted ten metres from the edge of the lake.6. During the most recent sighting the monster was likely to have been mistak

41、en for a big fish.7. The diver might jump out of the water, like a seal.8. On a clear day, on Changbais western peak you may get a clear look at the mysterious creature.9. A local photographer is more likely to see a lake monster.10. The fish might look like a horse.11. A group of soldiers might com

42、e and move on the surface of the water to find the much-reported monster.12. He may walk along the side of the lake.13. The river monster perhaps has a round head with 10-centimetre horns.14. I may soon visit the lake with my family.15. Its likely that a round black creature was moving quickly throu

43、gh the water.16. You may dive into the water to get it back to me.17. Perhaps he repeated the action again and again in order to see the monster clearly.18. Reports of monsters might have been read ever since the beginning of the last century.19. To see the monster close up you may have to go out to

44、 the center of the lake.20. Not far away, a distant cousin of the Loch Ness monster is likely to have been sighted by more common visitor to the lake. Period 4 GrammarMay have/ might haveGoals To learn to use may have/ might haveStep 1: Learning about ways to talk about possibility and improbability

45、MayPossibility We can use may to say that something is a possibilitymay + verb - Events in presentmay + have + past participle - Events in pastShe may be rich.= It is possible that she is rich.She may have missed her train.= It is possible that she missed her train.MightPossibility Might is used to

46、say that something is possible in the present or the future like mayWhat is difference between might and may?Usually may and might have same meaning but might is used when the situation is not real.If you dont hurry up, you might be late.She might be having lunch at Chinese restaurant.To speculate a

47、bout or consider things that were probably true in the pastmay possibilityJack may have been upset. I couldnt really tell if he was annoyed or tired. She may have spoken to him yesterday.Jack may not have been upset. Perhaps he was tired. To speculate about things that were probably true in the past

48、might possibilityShe might have taken the bus. Im not sure how she got to work. I might have left my books on the bus.She might not have taken the bus. She might have walked home. Step 2: Putting “may” and “might” into dialoguesMay DIALOGUEWoman: thanks very much, been very useful. But we still have

49、 a lot to talk about. Well need another meeting. What about next week?Boss: May I make a suggestion?Woman: Of course.Boss: Could we meet again next month? We may have more information by that time.Woman: Ah. Um. I may be on holiday next month.Boss: I see. Well, next week then.Woman: (CONVERSATION FA

50、DES) I think thats best.Might DIALOGUEMary: I cant find my phone.Tom: It might be in your briefcase.Mary: No. I always. oh dear. I think I might have left it in the taxi.Tom: Oh Helen. Youd better call them.Mary: Oh great, yes, of course. (CONVERSATION FADES) But I havent got a phone, have I?Step 3:

51、 Making sentences with “may/ might have”1. He may have brought good luck to his wife.2. Its death and destruction might have been caused by global warming.3. They might have talked about monsters among them.4. In Chinese culture, dragons may have been closely connected to the royal family.5. The emp

52、erors robes might have had a symbol of a gold dragon with five claws.6. Other members of the royal family may have worn claws of a different color according to popular belief.7. He might have been born in the year of the dragon.8. My group leader might have had a different reputation.9. He may have

53、told the story of a Scandinavian hero to his teacher.10. The lake monster might have been killed in the fight.Step 4: Absorb information concerning National College Entrance Examination命题热点:为情态动词的基本用法辨析,情态动词表示态度的用法辨析,情态动词表示推测的用法辨析,情态动词在虚拟语气中的运用。考查形式:主要体现在听力理解、单项填空和完形填空中。下面就近几年来高考试题中出现的情态动词的考点进行归纳分析,

54、以便同学们复习掌握。典例精析一、考查情态动词的基本用法一些常见情态动词的非常用意义往往为高考考查的焦点,考生须确切理解其含义并根据句子意思选择正确的情态动词。例1:”The interest _be divided into five parts, according to the agreement made by both sides.” declared the judge. (重庆2004)A. may B. should C. must D. shall例2: The room is so dirty. _ we clean it? Of course. (北京春2003)A. Wi

55、ll B. Shall C. Would D. Do分析:上述两题均考查 shall的非常用含义,当shall用于一、三人称疑问句中时,表示征求对方意见;用于二、三人称陈述句中,表示说话人给对方的命令、警告、允诺或威胁等。上述三题答案分别为D、B。例3:He strange - he _ sit for hours without saying anything.A. shall B. will C. can D. must分析:will用来谈习惯和特性,尤其是不受时限必然发生的情况。本句意思为”他很怪,能一坐几个小时一句话也不说”。答案为B。例4:John, look at the time

56、. _ you play the piano at such a late hour?(全国2005)A. Must B. Can C. May D. Need例5:Tom, you _leave all your clothes on the floor like this!(全国II 2005)A. wouldnt B. mustnt C. neednt D. may not分析:must用于疑问句,表示责备、抱怨的感情色彩,意思为”偏要,硬要、干嘛”;而mustnt则表示禁止、不允许,是说话人强有力的劝告。故答案分别为A、B。例6:You cant imagine that a well

57、-behaved gentleman _ be so rude to a lady. (上海2001)A. might B. need C. should D. would分析:在某些名词性从句中,should 表示惊异、意外等情绪,常译为”竟然”。答案为C。如:It seems unfair that this should happen to me. 真不公平,这件事竟然发生在我身上。例7:_it rain tomorrow, the meeting would be put off. A. Should B. Would C. Could D. Must分析:在条件状语从句中,shoul

58、d 表示”万一”,即可表示不能实现的假设,又可表示可以实现的假设。该句意思为”万一明天下雨,会议就延期。”答案为A。例8:A left-luggage office is a place where bags _ be left for a short time, especially at a railway station. (全国2003)A. should B. can C. must D. will例9:The World Wide Web is sometimes jokingly called the World Wide Wait because it _be very slo

59、w. (浙江2005)A. should B. must C. will D. can分析:can 表示推测时常用于疑问和否定句中,用于肯定句中常常表示理论上的可能性,用来表达事件或情况可能发生(但并不牵涉到是否真的会发生)。故答案分别为B、D。1. We _ have proved great adventures, but we have done the greatest march ever made in the past ten years. (2006天津) A. neednt B. may not C. shouldnt D. mustnt2. Yesterday, Jane

60、walked away from the discussion. Otherwise, she something she would regret later. (1996上海)A. had said B. said C. might say D. might have said答案:BDPeriod 5 WritingWriting about monstersGoals To learn to writing about monstersStep 1: Looking and saying I like to show you a picture of monsters. Now loo

61、k at them and try to describe the monster.Step 2: Writing a story about monster you happened to seeLast Sunday I got back to my hometown in the Taihang Mountain. While walking along the mountain path leading to my mothers place, I suddenly caught sight of a monster. This monster has a dark green fac

62、e with beady black eyes. It has a lot of dark black hair that is very thick. It is hard to tell if this monster looks mean, goofy, or just confused. This monster has two sharp, pointed teeth that look like fangs. The truth of the matter is that this monster is not mean. He is very shy and is deathly

63、 afraid of me! One night when I was driving along the country road my truck suddenly stopped by a monster. He had a yellow head with red squiggly hairs coming out. I thought he was going bald. I was too frightened to drive past him. I looked at him, and he looked at me. Then all of a sudden he disap

64、peared.My grandma told me one day that she had kept a monster when she was young. Her monster was dark green with spooky black hair. He could be mean if you made him mad, but most of the time he was nice. His tongue was always hanging out of his mouth. He had screws coming out of his head with big g

65、reen ears.This monster has a blue face. His face has a long scar running down the left side of it as you look at him. He has six pointy hairs that look like a jesters hat. The front three points are black, the second points are dark gray, and the last one is light gray. His eyes are green. His eyebr

66、ows look like a triangle without a bottom. He has five sharp teeth and a dark red mouth. My monster has a dark blue shirt and a light blue neck. He has a sharp nose that looks like a triangle without the right side. Can you draw him?My monster is green. It has striped socks, red and blue. He has a b

67、lue T-shirt. His hair is made up of three colors, green, orange, and yellow. He has squiggly eyes and long pointy ears.Hello, my name is Sky Monster. But you can call me SM. I have many uses. You can use me for help on your homework and English learning. I also have access to the Internet, even if y

68、ou do not have a phone line! I can cook for you, so you can have a fun time on your weekends. I have dark blue legs and arms, and a rainbow set of buttons on my light blue body, they are shaped like a pyramid. I also have a light blue head. My eyes are large and round. I have a light bulb on my head

69、. Many screws and bolts are on my arms and legs. I have a mini fridge in my back. My mouth is made up of hard yellow plastic fitted together. The screen (I told you earlier that I had access to the Internet.) is just above the set of buttons.While traveling in the universe I happened to catch this l

70、ittle monster. He has a small attitude about people. He does not find it easy to get along with other stars. That is why he hangs so high in the sky. The only thing he is afraid of is people. He thinks people are bad because of the things they launch out into space, like space shuttle junk. He is st

71、ar shaped and bright yellow. He has two white mittens on his hands that are two points on the star. He has white sneakers on the bottom two points of the star. On the top point of the star he has a Santa Claus hat on so he wont be so cold.My monster is a miniature bug-like creature. He is found only

72、 on the east side of Yellow River. He is a deep shade of purple with a bit of midnight blue in his eyes and pink rings around his eyes. He has wild antennas that are about half an inch long. He stands a puny three inches tall. All four of his weak legs are two inches long, leaving his tiny body only

73、 an inch high and one and a half inches long.Walking along the riverside one hot summer afternoon, I happened to see a river monster. The monster was yellow. It had black spikes all over his body, and had a nasty attitude. I saw him eating anything that was in his way. When I started to run away he

74、jumped out of the water almost biting my head off. He had red eyes, and had no teeth.Period 6 CULTURAL CORNERThe Universal DragonGoals To read about dragon in the east and in the westStep 1: Before you readPlease go over the word list for this module, paying attention to the pronunciation of the wor

75、d, the relationship between its pronunciation and its spelling.Step 2: While you readCut/ the sentences into thought groups, blacken the predicates, underline the useful expressions and darken the connectives.Step 3: After you readCopy all the useful expressions into your Expression Book. You may ma

76、ke sentences with these expressions.Useful expressions from The Universal Dragonfriendly or fierce, bring good luck, cause death and destruction, talk about, for a creature, in Chinese culture, be closely connected to the royal family, the emperors robes, have a symbol of a gold dragon with five cla

77、ws, wear claws, of a different colour, according to popular belief, be born in the year of the dragon, a natural leader, have a different reputation, tell the story of a Scandinavian hero, across the border in Wales, the red dragon, appear on the Welsh flag, a positive symbol, indicating strength an

78、d a sense of national identity, have a different character, in different parts of the world, due to the animals, grow out of, the idea of the dragon, come from the snake, be afraid of, a shy animal, live in rivers, plenty of water, a good sign for agriculture, a bringer of good fortuneStep 4: Talkin

79、g about the universal dragonYou are going to put the article into a dialogue in pairs. The following can be an example for you.A: What is a dragon?B: I dont know. Lets go and ask our teacher, Mr. Zhao and Miss Li. A: Mr. Zhao, could tell us what a dragon is?C: A dragon is a creature of Teutonic myth

80、ology. It usually is represented as an animal breathing fire and having a reptilian body and sometimes wings.D: Dragons can be friendly, or fierce.C: You are right, Miss Li.D: They can bring good luck, or cause death and destruction, but, one thing is surepeople talk about them almost everywhere in

81、the world. A: For a creature that doesnt actually exist, thats quite something.B: What is a dragon in Chinese culture?C: In Chinese culture, dragons are generous and wise, although they can be unpredictable. D: And the dragon was closely connected to the royal family.B: Thats why the emperors robes

82、have a symbol of a gold dragon with five claws. A: I learned that other members of the royal family were allowed to wear claws and of a different colour. B: My teacher told me that according to popular belief, if you were born in the year of the dragon, you are intelligent, brave, and a natural lead

83、er.A: But in the west, in my country, dragons had a different reputation. B: Yes, they had. The very first text in English, the Anglo-Saxon poem Beowulf, tells the story of a Scandinavian hero, Beowulf, who fights and kills a dangerous dragon but is himself killed in the fight. A: Across the border

84、in Wales, the red dragon on the Welsh flag is a positive symbol.C: Why do you say it is positive?A: It indicates strength and a sense of national identity.B: Miss Li, why should the dragon have a different character in different parts of the world? D: Some experts believe it is due to the animals th

85、e myths grew out of. C: I see, in the west, the idea of the dragon probably came from the snake.D: That is an animal which people hated and were afraid of.A: But in China, the idea of the dragon may have come from the alligatora shy animal which lives in rivers, but which is usually only seen when t

86、here is plenty of watera good sign for agriculture. So the Chinese dragon was a bringer of good fortune.C: The dragon is one of the 12-year cycles of animals which appear in the Chinese zodiac related to the Chinese calendar. D: According to Chinese folklore, each animal is associated with certain p

87、ersonality traits. A: I learned that dragon people are considered most eccentric in the Chinese zodiac. Dragons are idealists, perfectionists. They are born thinking they are perfect and inflexible. B:Dragons are also aggressive and determined, going after what they want is second nature to them. Period 7 TASKWriting about mysteries

展开阅读全文
相关资源
猜你喜欢
相关搜索

当前位置:首页 > 英语

Copyright@ 2020-2024 m.ketangku.com网站版权所有

黑ICP备2024021605号-1