搜索
菜单
登录
免费在线备课命题出卷组卷网
收藏
分享
(赏)
下载资源
加入VIP,免费下载
四川省凉山州西昌市2015-2016学年高一上学期期末检测英语试题 扫描版无答案.doc
上传人:
a****
文档编号:400895
上传时间:2025-11-30
格式:DOC
页数:9
大小:1.44MB
下载
相关
举报
第1页 / 共9页
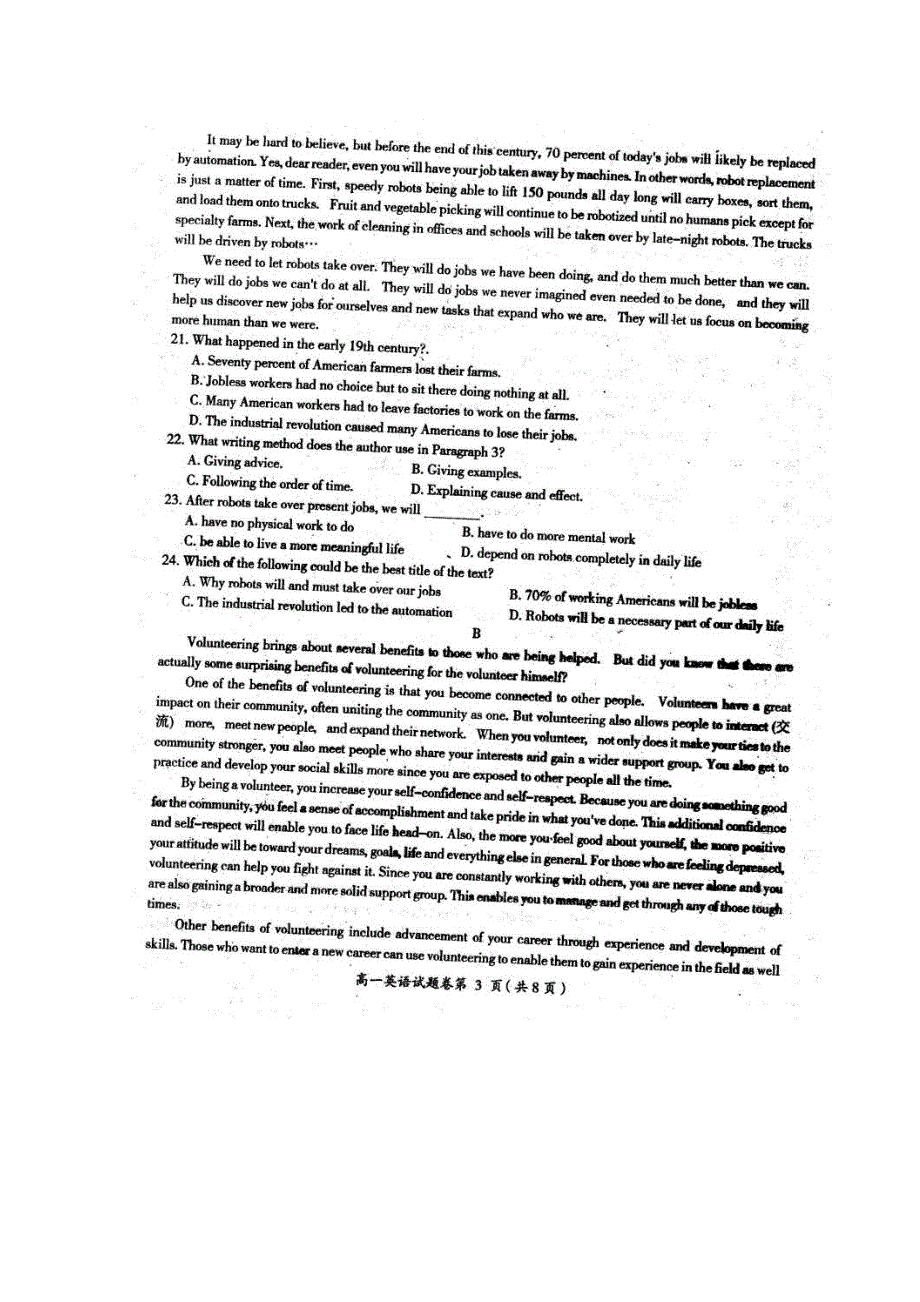
第2页 / 共9页
第3页 / 共9页
第4页 / 共9页
第5页 / 共9页
第6页 / 共9页
第7页 / 共9页
第8页 / 共9页
第9页 / 共9页
亲,该文档总共9页,全部预览完了,如果喜欢就下载吧!
资源描述
展开
阅读全文
相关资源
齐次化妙解圆锥曲线(解析版).pdf
齐次化妙解圆锥曲线(学生版).pdf
黑龙江省齐齐哈尔市2021-2022学年高二上学期期末考试物理试题答案.pdf
黑龙江省齐齐哈尔市2021-2022学年高二上学期期末考试地理试题答案.pdf
黑龙江省齐齐哈尔市2021-2022学年高二上学期期末考试历史试题答案.pdf
黑龙江省齐齐哈尔市2021-2022学年高二上学期期末考试化学试题答案.pdf
黑龙江省大庆实验中学二部2023-2024学年高二英语上学期10月阶段性考试试题(PDF版附答案).pdf
黑龙江省哈尔滨师范大学附属中学2022-2023学年高三英语上学期11月期中考试试卷(PDF版带答案).pdf
黑龙江省哈尔滨市第三中学2023-2024学年高三英语上学期第二次验收考试试题(PDF版附答案).pdf
黑龙江省哈尔滨市哈尔滨第三中学2021-2022学年高二上学期第一学段学业水平考试 英语 pdf版试卷.pdf
猜你喜欢
江苏省南京市第十八中学七年级语文下册 第20课《口技》学案(无答案) 新人教版.docx
江苏省南京市第十八中学七年级语文下册 第22课《在沙漠中心》学案(无答案) 新人教版.docx
江苏省南京市第十八中学七年级语文下册 第23课《登上地球之巅》学案(无答案) 新人教版.docx
江苏省南京市第十八中学七年级语文下册 第24课《真正的英雄》学案(无答案) 新人教版.docx
江苏省南京市第十八中学七年级语文下册 第25课《短文两篇》学案(无答案) 新人教版.docx
江苏省南京市第十八中学七年级语文下册 第26课《猫》学案(无答案) 新人教版.docx
江苏省南京市第十八中学七年级语文下册 第27课《斑羚飞渡》学案(无答案) 新人教版.docx
江苏省南京市第十八中学七年级语文下册 第29课《 马》学案(无答案) 新人教版.docx
江苏省南京市第十八中学七年级语文下册 第2课《爸爸的花儿落了》学案(无答案) 新人教版.docx
相关搜索
四川省凉山州西昌市2015-2016学年高一
扫描版无答案
四川省
凉山州
西昌市
2015
2016
学年
高一上
学期
期末
检测
英语试题
扫描
答案
当前位置:
首页
>
英语
Copyright@ 2020-2024 m.ketangku.com网站版权所有
黑ICP备2024021605号-1
登录
首页
资源分类
文档管理
收藏夹
新闻中心
最新动态